SOLUTION: Prove that the following relationship is true: nCr + nC(r+1) ?=? (n+1)C(r+1) Use the least common denominator method.

Algebra ->  Permutations -> SOLUTION: Prove that the following relationship is true: nCr + nC(r+1) ?=? (n+1)C(r+1) Use the least common denominator method.       Log On


   



Question 940228: Prove that the following relationship is true:
nCr + nC(r+1) ?=? (n+1)C(r+1)
Use the least common denominator method.

Answer by Edwin McCravy(20077) About Me  (Show Source):
You can put this solution on YOUR website!
nCr + nC(r+1) ?=? (n+1)C(r+1)
------------------------------------

(1)   nCr = n%21%2F%28r%21%28n-r%29%21%29

(2)   nC(r+1) = n%21%2F%28%28r%2B1%29%21%28n%5E%22%22-%28r%2B1%29%29%21%29 = n%21%2F%28%28r%2B1%29%21%28n-r-1%29%21%29

(3)   (n+1)C(r+1) = %28n%2B1%29%21%2F%28%28r%2B1%29%21%28%28n%2B1%29%5E%22%22-%28r%2B1%29%29%21%29 = %28n%2B1%29%21%2F%28%28r%2B1%29%21%28n%2B1-r-1%29%21%29 = %28n%2B1%29%21%2F%28%28r%2B1%29%21%28n-r%29%21%29

---------------------------
We want to prove that expression(1) + expression(2) = expression(3)

nCr + nC(r+1) = 

n%21%2F%28r%21%28n-r%29%21%29%22%22%2B%22%22n%21%2F%28%28r%2B1%29%21%28n-r-1%29%21%29

Substitute (n-r)(n-r-1)! for (n-r)! and (r+1)r! for (r+1)!  

n%21%2F%28r%21%28n-r%29%28n-r-1%29%21%29%22%22%2B%22%22n%21%2F%28%28r%2B1%29r%21%28n-r-1%29%21%29 

LCD = (r+1)r!(n-r)(n-r-1)!

%28n%21%28red%28r%2B1%29%29%29%2F%28+%28red%28r%2B1%29%29r%21%28n-r%29%28n-r-1%29%21%29%22%22%2B%22%22n%21%28red%28n-r%29%29%2F%28%28r%2B1%29r%21%28red%28n-r%29%29%28n-r-1%29%21%29 

Replace (r+1)r! by (r+1)! and replace (n-r)(n-r-1) by (n-r)!

%28n%21%28r%2B1%29%29%2F%28+%28r%2B1%29%21%28n-r%29%21%29%22%22%2B%22%22n%21%28n-r%29%2F%28%28r%2B1%29%21%28n-r%29%21%29 

%28n%21%28r%2B1%29%2Bn%21%28n-r%29%29%2F%28%28r%2B1%29%21%28n-r%29%21%29 

%28n%21r%2Bn%21%2Bn%21n-n%21r%29%2F%28%28r%2B1%29%21%28n-r%29%21%29

%28cross%28n%21r%29%2Bn%21%2Bn%21n-cross%28n%21r%29%29%2F%28%28r%2B1%29%21%28n-r%29%21%29

%28n%21%2Bn%21n%29%2F%28%28r%2B1%29%21%28n-r%29%21%29

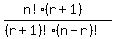
%28n%21%281%2Bn%29%29%2F%28%28r%2B1%29%21%28n-r%29%21%29

%28%28n%2B1%29n%21%29%2F%28%28r%2B1%29%21%28n-r%29%21%29

%28n%2B1%29%21%2F%28%28r%2B1%29%21%28n-r%29%21%29

(n+1)C(r+1)

Edwin