SOLUTION: A coin is tossed 9 times. What is the probability that the coin will land heads at least 7 times?

Algebra ->  Permutations -> SOLUTION: A coin is tossed 9 times. What is the probability that the coin will land heads at least 7 times?      Log On


   



Question 76116: A coin is tossed 9 times. What is the probability that the coin will land heads at least 7 times?
Found 2 solutions by stanbon, Edwin McCravy:
Answer by stanbon(75887) About Me  (Show Source):
You can put this solution on YOUR website!
A coin is tossed 9 times. What is the probability that the coin will land heads at least 7 times?
It's a binomial problem with n=9, p=1/2, 7<=x<=9
Use"1- binomcdf(9,0.5,6)" on your TI calculator.
Ans:0.08984375...
========
Cheers,
Stan H.

Answer by Edwin McCravy(20066) About Me  (Show Source):
You can put this solution on YOUR website!

A coin is tossed 9 times. What is the 
probability that the coin will land heads 
at least 7 times?

This is a binomial probability. You can 
find it directly from a binomial
table, a TI-83 calculator, or entirely 
from the formula.

Using the formula: 

C%28n%2Cx%29p%5En%2Aq%5E%28n-x%29

gives the probability that in n trials 
there will be exactly x successes
where

p = the probability of one success in 
one trial and q = 1-p = the probability 
of one failure in one trial.

C%28n%2Cx%29+=+n%21%2F%28x%21%28n-x%29%21%29

In the case of a coin, p = 1/2 and q = 1 - 1/2 = 1/2

P(coin landing heads at least 7 times out of 9 tosses) =

P(coin landing exactly 7 times out of 9) +   
       P(coin landing exactly 8 times out of 9) +
              P(coin landing exactly 9 times out of 9) =

 =

C%289%2C7%29%281%2F2%29%5E9+%2B+C%289%2C8%29%281%2F2%29%5E9+%2B+C%289%2C9%29%281%2F2%29%5E9 =

Factor out %281%2F2%29%5E9

%281%2F2%29%5E9%2A%28C%289%2C7%29+%2B+C%289%2C8%29+%2B+C%289%2C9%29%29 =

%281%2F512%29%2A%28C%289%2C7%29+%2B+C%289%2C8%29+%2B+C%289%2C9%29%29

which gives the desired probability.

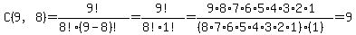
To calculate this we need:







Therefore the desired probability =

 

----------------------------------------------

If you use a TI-83 or TI-84 calculator, type in

1 - binomcdf(9,1/2,6)

then press ENTER and you get .08984375

To get binomcdf( , press 2nd, then VARS, then 
scroll down to binomcdf( , then press ENTER.

Edwin