SOLUTION: i hope that you can help me solve this one. thanks. find all real solutions of the equation. 3squareroot3x+1endsqroot -5=0

Algebra ->  Permutations -> SOLUTION: i hope that you can help me solve this one. thanks. find all real solutions of the equation. 3squareroot3x+1endsqroot -5=0      Log On


   



Question 53432: i hope that you can help me solve this one. thanks.
find all real solutions of the equation.
3squareroot3x+1endsqroot -5=0

Answer by funmath(2933) About Me  (Show Source):
You can put this solution on YOUR website!
1. Isolate the Radical.
2. Square both sides of the equation. Remember%28sqrt%28x%29%29%5E2=x
3. Solve for x.
4. Cehck you answer for extraneous solutions (false solutions) because this is a problem involving radicals you can do everything right and get a solution that does not make both sides equal.
3%2Asqrt%283x%2B1%29-5=0
3%2Asqrt%283x%2B1%29-5%2B5=0%2B5
3%2Asqrt%283x%2B1%29=5
3%2Asqrt%283x%2B1%29%2F3=5%2F3
sqrt%283x%2B1%29=5%2F3
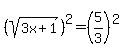
%28sqrt%283x%2B1%29%29%5E2=%285%2F3%29%5E2
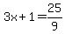
3x%2B1=25%2F9 Clear your fraction to make life easier.
9%283x%2B1%29=9%2825%2F9%29
27x%2B9=25
27x%2B9-9=25-9
27x=16
27x%2F27=16%2F27
x=16%2F27
Check for extraneous solutions:
3%2Asqrt%283%2816%2F27%29%2B1%29-5=0
3%2Asqrt%2816%2F9%2B1%29-5=0You need a common denominator when adding a fraction.
3%2Asqrt%2816%2F9%2B9%2F9%29-5=0
3%2Asqrt%2825%2F9%29-5=0
3%285%2F3%29-5=0
5-5=0
0=0
The solution checks, so we know for sure that our solution is:
highlight%28x=16%2F27%29
Happy Calculating!!!