SOLUTION: find the value of r if c(18,r)=c(18,r+2)

Algebra ->  Permutations -> SOLUTION: find the value of r if c(18,r)=c(18,r+2)      Log On


   



Question 427273: find the value of r if c(18,r)=c(18,r+2)
Found 3 solutions by Theo, robertb, richard1234:
Answer by Theo(13342) About Me  (Show Source):
You can put this solution on YOUR website!
the general formula is:

c(n,r) = n! / (r! * (n-r)!)

the numerator will always be the same.

the denominator also has to be the same.

in order for this to happen, then r! and (n-r)! have to be reversed.

example:

1! * 17! = 17! * 1!

on the left side of the equation, r = 1 and n-r = 17
on the right sides of the equation, r = 17 and n-r = 1

you will get 1! * 17! = 17! * 1! yielding the same denominator.

the difference between the 2, however, is not equal to 2.

when r and n-r get closer together, the difference will be 2.

if we pick 8 as r, then n-r becomes 10.

reversing them, we get r = 10 and n-r = 8.

this satisfies the condition we are looking for so the answer will be r = 8.

with r = 8, the formula becomes c(18,8)
with r = 10, the formula becomes c(18,10)

c(18,8) = 18! / (8! * 10!)
c(18,10) = 18! / (10! * 8!)

the numerator is always the same.
the denominator is the same as well, only commuted.

a*b = b*a is the basic commutative property which is why i say the denominator is commuted.

that's your answer.

r = 8.











Answer by robertb(5830) About Me  (Show Source):
You can put this solution on YOUR website!
c%2818%2Cr%29=c%2818%2Cr%2B2%29
<==> %2818%21%29%2F%28%2818-r%29%21r%21%29+=+%2818%21%29%2F%28%2816-r%29%21%28r%2B2%29%21%29
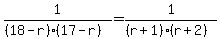
<==> 1%2F%28%2818-r%29%21r%21%29+=+1%2F%28%2816-r%29%21%28r%2B2%29%21%29
<==> 1%2F%28%2818-r%29%2817+-+r%29%29+=+1%2F%28%28r%2B1%29%28r%2B2%29%29
<==> %2818-r%29%2817+-+r%29=++%28r%2B1%29%28r%2B2%29
<==> 306-35r+%2B+r%5E2+=+r%5E2+%2B+3r+%2B+2
<==> 304 = 38r ==> r = 8.

Answer by richard1234(7193) About Me  (Show Source):
You can put this solution on YOUR website!
A property of combinatorics says that c(N, r) is the same as c(N, N-r). It is easy to prove either algebraically or using a committee-forming argument, since choosing r people on the committee is the same as choosing N-r people *not* on the committee. In addition, C(N, k) = C(N, m) if and only if k+m = N.

Using this property, we can let k = r and m = r+2, and they must add up to 18. Hence,

r+%2B+%28r%2B2%29+=+18 --> 2r+=+16 --> r = 8.