SOLUTION: (n+1)!={11*(n-1)/2}*{(n+3)!/3!},solveforn

Algebra ->  Permutations -> SOLUTION: (n+1)!={11*(n-1)/2}*{(n+3)!/3!},solveforn      Log On


   



Question 1185279: (n+1)!={11*(n-1)/2}*{(n+3)!/3!},solveforn
Answer by greenestamps(13200) About Me  (Show Source):
You can put this solution on YOUR website!


Check the form of your equation and re-post.

The equation as you show it has no solution in integers.

If the equation you show is in fact correct, then....

%28n%2B1%29%21=%2811%28n-1%29%2F2%29%28%28n%2B3%29%21%2F3%21%29
%28n%2B1%29%21=%2811%28n-1%29%28n%2B3%29%21%29%2F12
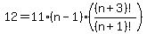
12%28n%2B1%29%21=11%28n-1%29%28n%2B3%29%21
12=11%28n-1%29%28%28n%2B3%29%21%2F%28n%2B1%29%21%29
12=11%28n-1%29%28n%2B3%29%28n%2B2%29
12+=+11%28n-1%29%28n%5E2%2B5n%2B6%29
12+=+11%28n%5E3%2B4n%5E2%2Bn-6%29
12+=+11n%5E3%2B44n%5E2%2B11n-66
11n%5E3%2B44n%5E2%2B11n-78=0

Use a graphing calculator or some numerical method to find

ANSWER: x=1.0864914 to 7 decimal places