SOLUTION: If nCr= n!/(n-r)!r! Then n+1Cn-1 is?
Algebra
->
Permutations
-> SOLUTION: If nCr= n!/(n-r)!r! Then n+1Cn-1 is?
Log On
Algebra: Combinatorics and Permutations
Section
Solvers
Solvers
Lessons
Lessons
Answers archive
Answers
Click here to see ALL problems on Permutations
Question 1105785
:
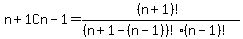
If nCr= n!/(n-r)!r! Then n+1Cn-1 is?
Answer by
math_helper(2461)
(
Show Source
):
You can
put this solution on YOUR website!
=
=