SOLUTION: How many ways can 2 men and 2 women be selected for a debate tournament if there are 11 male finalists and 12 female finalists? There are___________ ways to select 2 men and

Algebra ->  Permutations -> SOLUTION: How many ways can 2 men and 2 women be selected for a debate tournament if there are 11 male finalists and 12 female finalists? There are___________ ways to select 2 men and       Log On


   



Question 1064194: How many ways can 2 men and 2 women be selected for a debate tournament if there are 11 male finalists and 12 female finalists?

There are____________ways to select 2 men and 2 women for the debate tournament

Answer by KMST(5328) About Me  (Show Source):
You can put this solution on YOUR website!
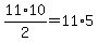
There are 11%2A10%2F2=11%2A5 ways to pick a set of 2 men
from the group of 11 male finalists.
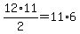
There are 12%2A11%2F2=11%2A6 ways to pick a set of 2 women
from the group of 13 female finalists.
As a consequence, there are
11%2A5%2A11%2A6=highlight%283630%29
ways that a group of 2 men and two women can be selected.