SOLUTION: Find the ratio among the time taken by three buses ti travel the same distance if the ratio of their speeds are 5:4:6
Algebra
->
Percentage-and-ratio-word-problems
-> SOLUTION: Find the ratio among the time taken by three buses ti travel the same distance if the ratio of their speeds are 5:4:6
Log On
Word Problems: Problems on percentages, ratios, and fractions
Word
Solvers
Solvers
Lessons
Lessons
Answers archive
Answers
Click here to see ALL problems on Percentage-and-ratio-word-problems
Question 929351
:
Find the ratio among the time taken by three buses ti travel the same distance if the ratio of their speeds are 5:4:6
Answer by
ewatrrr(24785)
(
Show Source
):
You can
put this solution on YOUR website!
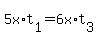
5/4t1 = t2
........
5/6t1 = t3
......
1:5/4:5/6
0r
12:15:10