SOLUTION: Suppose z varies directly as the square of x and inversely as y. If z = 8 when x = 4 and y = 6, find z when x =6 and y = 12.

Algebra ->  Percentage-and-ratio-word-problems -> SOLUTION: Suppose z varies directly as the square of x and inversely as y. If z = 8 when x = 4 and y = 6, find z when x =6 and y = 12.      Log On


   



Question 88658: Suppose z varies directly as the square of x and inversely as y. If z = 8 when x = 4 and y = 6, find z when x =6 and y = 12.
Answer by funmath(2933) About Me  (Show Source):
You can put this solution on YOUR website!
Suppose z varies directly as the square of x and inversely as y. If z = 8 when x = 4 and y = 6, find z when x =6 and y = 12.
You must have meant z instead of x, so I changed the first x to a z.
z=kx%5E2%2Fy means z varies directly with the square of x and inversely as y.
%288%29=k%284%29%5E2%2F%2812%29 Substitute and solve for k.
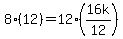
8=16k%2F12
8%2812%29=12%2816k%2F12%29
96=16k%29
96%2F16=16k%2F16
6=k
Your new formula is:
z=6x%5E2%2Fy Substitute and solve for z.
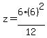
z=6%286%29%5E2%2F12
z=6%2836%29%2F12
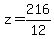
z=216%2F12
highlight%28z=18%29
Happy Calculating!!!