SOLUTION: Please help me solve If 2 1/4 gallons of ice cream contain 360 grams of fat, how much fat is in 3 1/2 gallons of ice cream?
Algebra
->
Percentage-and-ratio-word-problems
-> SOLUTION: Please help me solve If 2 1/4 gallons of ice cream contain 360 grams of fat, how much fat is in 3 1/2 gallons of ice cream?
Log On
Word Problems: Problems on percentages, ratios, and fractions
Word
Solvers
Solvers
Lessons
Lessons
Answers archive
Answers
Click here to see ALL problems on Percentage-and-ratio-word-problems
Question 745705
:
Please help me solve
If 2 1/4 gallons of ice cream contain 360 grams of fat, how much fat is in 3 1/2 gallons of ice cream?
Answer by
josgarithmetic(39625)
(
Show Source
):
You can
put this solution on YOUR website!
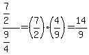
This is a proportion. How many times bigger is
than
?
Notice this is BIGGER than 1. So how much fat?
grams.