SOLUTION: how many 3/5ths are in 10?

Algebra ->  Percentage-and-ratio-word-problems -> SOLUTION: how many 3/5ths are in 10?      Log On


   



Question 732827: how many 3/5ths are in 10?
Answer by josgarithmetic(39618) About Me  (Show Source):
You can put this solution on YOUR website!
Imagine starting with 10. Subtract 3/5 and count this as having found 1 of 3/5. Subtract another 3/5 from what has remained and count this as having found another 3/5. How much still remains? Enough to keep subtracting 3/5 again?

Now, instead of using repeated subtraction to count how many of 3/5 can be found in the number, 10, try something more economical: DIVISION.

Divide 10 by 3/5. THAT will be how many 3/5 is in 10.

10÷(3/5)=
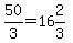
10%2F%283%2F5%29=10%2A%285%2F3%29, because division by a fraction is the same as multiply by the reciprocal of the fraction,
=%2810%2A5%29%2F3
=50%2F3=16%262%2F3