SOLUTION: A copying machine can make copies that are 80%, 100% and 150% as large as the original. By making copies of copies, what is the smallest number of times you must use the machine

Algebra ->  Percentage-and-ratio-word-problems -> SOLUTION: A copying machine can make copies that are 80%, 100% and 150% as large as the original. By making copies of copies, what is the smallest number of times you must use the machine       Log On


   



Question 257423: A copying machine can make copies that are 80%, 100% and 150% as large as the
original. By making copies of copies, what is the smallest number of times you
must use the machine if you want a copy of an original that is 324% as large as
the original?

Answer by Edwin McCravy(20060) About Me  (Show Source):
You can put this solution on YOUR website!
A copying machine can make copies that are 80%, 100% and 150% as large as the
original. By making copies of copies, what is the smallest number of times you
must use the machine if you want a copy of an original that is 324% as large as
the original?

Let x = the integer which is the number of times to use the
80% setting and y = the integer which is the number of times
to use the 150% setting:

Then changing the percents to decimals:

%28%28.8%29%5Ex%29%28%281.5%29%5Ey%29=3.24

Change the decimals to the fractions

4%2F5, 3%2F2 and 81%2F25 

+++%28%284%2F5%29%5Ex%29%2A%28%283%2F2%29%5Ey%29+=+81%2F25

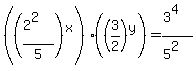
Write 4 as 2%5E2, 81 as 2%5E4, and 25 as 5%5E2

%28%28%282%5E2%29%2F5%29%5Ex%29%28%283%2F2%29%5Ey%29+=+%283%5E4%29%2F%285%5E2%29



%28++2%5E%282x%29%2A3%5E%28y%29%29%2F+%285%5Ex%2A2%5Ey%29=%283%5E4%29%2F%285%5E2%29

Cross-multiply:

2%5Ey%2A3%5E4%2A5%5Ex=2%5E%282x%29%2A3%5Ey%2A5%5E2

Divide both sides by the right side

%282%5Ey%2A3%5E4%2A5%5Ex%29%2F%282%5E%282x%29%2A3%5Ey%2A5%5E2%29=1

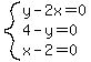
%282%5E%28y-2x%29%29%2A%283%5E%284-y%29%29%285%5E%28x-2%29%29=1

All those exponents must be 0, since they are integers,
so

system%28y-2x=0%2C4-y=0%2Cx-2=0%29

Solve that and get x=2,y=4

So we use the 80% copier 2 times and the 150% copier 4 times.

Edwin