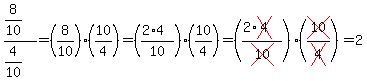
SOLUTION: 8 tenths divded by 4 tenths
Algebra
->
Percentage-and-ratio-word-problems
-> SOLUTION: 8 tenths divded by 4 tenths
Log On
Word Problems: Problems on percentages, ratios, and fractions
Word
Solvers
Solvers
Lessons
Lessons
Answers archive
Answers
Click here to see ALL problems on Percentage-and-ratio-word-problems
Question 156536
:
8 tenths divded by 4 tenths
Answer by
orca(409)
(
Show Source
):
You can
put this solution on YOUR website!
8 tenths is
4 tenths is
So 8 tenths divded by 4 tenths is: