SOLUTION: Could you please help me break this problem down. I have trouble with the fractions part of the problems. 3x+1/9+2=x-1/4 3x-x=-1/4-1/9-2 2x=I'm LOST! Thank you!

Algebra ->  Percentage-and-ratio-word-problems -> SOLUTION: Could you please help me break this problem down. I have trouble with the fractions part of the problems. 3x+1/9+2=x-1/4 3x-x=-1/4-1/9-2 2x=I'm LOST! Thank you!      Log On


   



Question 145585This question is from textbook Algebra For college students
: Could you please help me break this problem down. I have trouble with the fractions part of the problems.
3x+1/9+2=x-1/4
3x-x=-1/4-1/9-2
2x=I'm LOST!
Thank you!
This question is from textbook Algebra For college students

Answer by Fombitz(32388) About Me  (Show Source):
You can put this solution on YOUR website!
3x%2B1%2F9%2B2=x-1%2F4
3x-x=-1%2F4-1%2F9-2
You're on the right track.
Whenever you add or subtract fractions you need to have the same denominator.
The quickest way is to multiply all the denominators together and transform each fraction to a fraction with that denominator.
In this case, the denominators are 4, 9, and 1.
Their product is 36.
Now find each fraction represented with denominator of 36.
-1%2F4=x%2F36
-1%2F4=-9%2F36
and
-1%2F9=y%2F36
-1%2F9=-4%2F36
and finally
2=z%2F36
2=72%2F36
Now substitute,
2x=-1%2F4-1%2F9-2
2x=-9%2F36-4%2F36-72%2F36
2x=%28-9-4-72%29%2F36
2x=%28-85%29%2F36
x=%28-85%29%2F72
You can use your original equation to check if your answer is correct.
3x%2B1%2F9%2B2=x-1%2F4
3%2A%28-85%2F72%29%2B1%2F9%2B2=-%2885%29%2F72-1%2F4
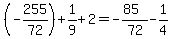
%28-255%2F72%29%2B1%2F9%2B2=-%2885%29%2F72-1%2F4
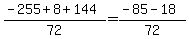
%28-255%2F72%29%2B8%2F72%2B144%2F72=-%2885%29%2F72-18%2F72Change all fractions to denominator of 72.
%28-255%2F72%29%2B8%2F72%2B144%2F72=-%2885%29%2F72-18%2F72
%28-255%2B8%2B144%29%2F72=%28-85-18%29%2F72Multiply both sides by 72.
-255%2B8%2B144=-85-18
-255%2B8%2B144=-85-18
-103=-103
Your answer leads to a true statement.
It's a good answer.