|
Question 1210589: A fruit seller had a collection of apples, pears, and oranges.
Initially, 1/4 of the fruits were apples.
He sold 80 apples and 1/3 of the pears.
After this, he bought more oranges, increasing the number of oranges by 60%.
At this point, the number of pears he had left was twice the number of apples he had left.
Finally, he realized that the total number of fruits he had now was exactly 20% more than the total number he started with.
How many oranges did the fruit seller have at the very beginning?
Answer by greenestamps(13351) (Show Source):
You can put this solution on YOUR website!
The problem asks for the number of oranges he started with. So let that be our variable.
x = original number of oranges
We will need another variable.
y = original number of apples
The original number of apples is 1/4 of the total number of fruits, so the total number of fruits is 4y. This gives us
4y-(x+y) = 3y-x = original number of pears
To start, then, we have
apples: y
pears: 3y-x
oranges: x
He sells 80 apples and 1/3 of the pears, leaving...
apples: y-80
pears: (2/3)(3y-x) = 2y-(2/3)x
oranges: x
He buys more oranges, increasing the number of oranges by 60% -- i.e., multiplying the number of oranges by 160%, or 8/5.
apples: y-80
pears: (2/3)(3y-x) = 2y-(2/3)x
oranges: (8/5)x
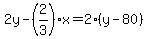
After doing that, he has twice as many pears as apples




That is what the problem asked us to find, so we are done.
ANSWER: x = 240 oranges
Although the problem doesn't require us to do any more work, it is curious to continue to find the original numbers of apples and pears.
The total number of fruits at the end was 20% more than the number at the beginning.
at the beginning: 
at the end: 
The total number at the end was 20% greater than -- i.e. 6/5 as much -- as at the beginning:



The fruits he started with:
apples: y = 80
pears: 3y-x = 240-240 = 0
oranges: 240
|
|
|
| |