|
Question 1181448: Hi
Can someone help me with this question
find the equation of the parabola that is a translation of y=x^2-3x+4 and passes through the point (-3,3) (2,8).
Thanks in advance.
Found 2 solutions by greenestamps, ikleyn: Answer by greenestamps(13200) (Show Source):
You can put this solution on YOUR website!
The given quadratic is this:

The vertex form of a quadratic is this:

The equation of the given quadratic in vertex form is

In the general vertex form, a determines the steepness of the parabola, and (h,k) is the vertex.
A translation will change the vertex but not the steepness. So for the quadratic we are looking for, a is still 1 but we have a new h and k, representing the horizontal and vertical shifts.
So the quadratic we are looking for (with new vertex (h,k)) is of the form

and two points on the graph are (-3,3) and (2,8).
(1) (-3,3):


[1]
(2) (2,8):


[2]
Subtract [2] from [1]:


Use h=-1 in [1] to find k:


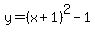
So in vertex form the equation of the translated quadratic has h=-1 and k=-1:

Easy calculations show that indeed (-3,3) and (2,8) are points on that graph.
ANSWER: The equation of the translated quadratic is , or 
Here are graphs of the original quadratic (red) and the translated quadratic (green):

The problem did not ask for the translation that produces that new equation. But now that we have the vertices of the original quadratic and the translated quadratic, it is easy to determine the translation.
The vertex of the original quadratic was (3/2,7/4); the vertex of the translated quadratic is (-1,-1). The translation was left by ((3/2)-(-1)) = 5/2 and down by ((7/4)-(-1)) = 11/4.
Answer by ikleyn(52802) (Show Source):
|
|
|
| |