SOLUTION: Hello! I'm curious about this problem and I'm wondering if I could get some help on it. Any help would be gladly appreciated!One night a guest at an inn couldn't sleep. He went dow

Algebra ->  Percentage-and-ratio-word-problems -> SOLUTION: Hello! I'm curious about this problem and I'm wondering if I could get some help on it. Any help would be gladly appreciated!One night a guest at an inn couldn't sleep. He went dow      Log On


   



Question 1114118: Hello! I'm curious about this problem and I'm wondering if I could get some help on it. Any help would be gladly appreciated!One night a guest at an inn couldn't sleep. He went down to the kitchen where he found a plate of cupcakes. He was hungry and ate 1/6 of the cupcakes. Later, his wife was hungry, couldn't sleep, so she went to the kitchen and ate 1/5 of the remaining cupcakes. At midnight the son ate 1/3 of the leftover cupcakes, and just after him, his sister ate 1/2 of what her brother had left, leaving only three cupcakes for the Inn owner's party the next day. How many cupcakes were originally on the plate?
Any help is gladly appreciated! Thank you so much for your help!

Answer by josgarithmetic(39620) About Me  (Show Source):
You can put this solution on YOUR website!
c, original number of cupcakes

Quantities Remaining after each step
(1)
%285%2F6%29c
(2)
%284%2F5%29%285%2F6%29c
(3)
%282%2F3%29%284%2F5%29%285%2F6%29c
(4)
%281%2F2%29%282%2F3%29%284%2F5%29%285%2F6%29c

Last part given as 3.
%281%2F2%29%282%2F3%29%284%2F5%29%285%2F6%29c=3------Simplify and solve for c.

(...)
Description seems off.
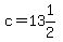
Finding nonwhole, c=13%261%2F2.