SOLUTION: The number of frogs in a lake decrease by x% each year. Given that the number of frogs halves in 8 years, work out the value of x. Give your answer correct to 1 decimal place.

Algebra ->  Percentage-and-ratio-word-problems -> SOLUTION: The number of frogs in a lake decrease by x% each year. Given that the number of frogs halves in 8 years, work out the value of x. Give your answer correct to 1 decimal place.      Log On


   



Question 1076999: The number of frogs in a lake decrease by x% each year.
Given that the number of frogs halves in 8 years, work out the value of x.
Give your answer correct to 1 decimal place.

Answer by josmiceli(19441) About Me  (Show Source):
You can put this solution on YOUR website!
As a decimal, x% = +.01x+
Let +N+ = the number of frog to begin with
+N%2F2+ = the number of frogs after +8+ yrs
------------------------------------------
+N%2F2+=+N%2A%28+1+-+.01x+%29%5E8+
Divide both sides by +N+
+1%2F2+=+%28+1+-+.01x+%29%5E8+
Take the eigthth root of both sides
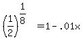
+%28+1%2F2+%29%5E%281%2F8%29+=+1+-+.01x+
+.917+=+1+-+.01x+
+.01x+=+1+-+.917+
+.01x+=+.083+
+x+=+8.3+
--------------------
check:
+1%2F2+=+%28+1+-+.01x+%29%5E8+
+1%2F2+=+%28+1+-+.083+%29%5E8+
+.5+=+.917%5E8+
+.5+=+.49998+
close enough
check the math