SOLUTION: maria scores 16 points in one basketball game and 20 points in a second game. By what percent did her scoring increase?
Algebra
->
Percentage-and-ratio-word-problems
-> SOLUTION: maria scores 16 points in one basketball game and 20 points in a second game. By what percent did her scoring increase?
Log On
Word Problems: Problems on percentages, ratios, and fractions
Word
Solvers
Solvers
Lessons
Lessons
Answers archive
Answers
Click here to see ALL problems on Percentage-and-ratio-word-problems
Question 1073294
:
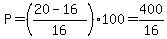
maria scores 16 points in one basketball game and 20 points in a second game. By what percent did her scoring increase?
Answer by
Fombitz(32388)
(
Show Source
):
You can
put this solution on YOUR website!
(New-Old)/Old*100
.
.
.