SOLUTION: If 6 students failed out of 48 what's the percentage of students that passed
Algebra
->
Percentage-and-ratio-word-problems
-> SOLUTION: If 6 students failed out of 48 what's the percentage of students that passed
Log On
Word Problems: Problems on percentages, ratios, and fractions
Word
Solvers
Solvers
Lessons
Lessons
Answers archive
Answers
Click here to see ALL problems on Percentage-and-ratio-word-problems
Question 1064157
:
If 6 students failed out of 48 what's the percentage of students that passed
Answer by
KMST(5328)
(
Show Source
):
You can
put this solution on YOUR website!
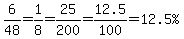
The ratio of failing students to total students is
.
The percentage of students that passed is
.