SOLUTION: If the formula for the temperature T in degrees Fahrenheit of a city t months into the year is given by T = 50 + 25 sin(π/6t) then how do you find the average temperature an

Algebra ->  Percentage-and-ratio-word-problems -> SOLUTION: If the formula for the temperature T in degrees Fahrenheit of a city t months into the year is given by T = 50 + 25 sin(π/6t) then how do you find the average temperature an      Log On


   



Question 1040254: If the formula for the temperature T in degrees Fahrenheit of a city t months
into the year is given by T = 50 + 25 sin(π/6t) then how do you find the average temperature and the maximum and minimum predicted over the year?

Found 2 solutions by Aldorozos, robertb:
Answer by Aldorozos(172) About Me  (Show Source):
You can put this solution on YOUR website!
Let's assume January as the first month of the year
Therefore for January t = 1
In this case The temperature for January is
T = 50+sin (Pi/6*1) = 50 + sin (3.14/6) = 50 + sin (.52) (we know that pi = 3.14)
T = 50 + Sin .52 using calculator we have to find the sin .52
Sin .52 = .5
Therefore T for January = 50 + 25*.5 = 50 + 12.25 = 62.25 This is our temperature for January.
We can calculate the temperature for February by repeating this process. In case of February t = 2. Now we have to find
T = 50+sin (Pi/6*2) When we solve this problem we will get a temperature that is less than January's temperature. Remember January's temperature is 62.25
After calculating the temperature for all 12 months we have to look at the highest number and the lowest number to see which one is the max and which one is the min. To calculate the average, we have to add all 12 numbers together and then divide it by 12.

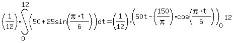
Answer by robertb(5830) About Me  (Show Source):
You can put this solution on YOUR website!
Average temperature =
= degrees Fahrenheit.

The minimum temperature happens when t = 9:
T = 50+%2B+25sin%28%283%2Api%29%2F2%29+=+50+-+25+=+25 degrees Fahrenheit.

The maximum temperature happens when t = 3:
T = 50+%2B+25sin%28%28pi%29%2F2%29+=+50+%2B+25+=+75 degrees Fahrenheit.
Note that, the average temperature is also the average of the minimum and maximum values, due to the cyclical nature of the temperature T.