SOLUTION: If 200 dollars is 30 percent of my check what is the remaining 70 percent
Algebra
->
Percentage-and-ratio-word-problems
-> SOLUTION: If 200 dollars is 30 percent of my check what is the remaining 70 percent
Log On
Word Problems: Problems on percentages, ratios, and fractions
Word
Solvers
Solvers
Lessons
Lessons
Answers archive
Answers
Click here to see ALL problems on Percentage-and-ratio-word-problems
Question 1022528
:
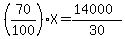
If 200 dollars is 30 percent of my check what is the remaining 70 percent
Answer by
Fombitz(32388)
(
Show Source
):
You can
put this solution on YOUR website!
But you don't want X, you want 70% of it, so,