SOLUTION: what is the value of 2+(-2/3)2divided by 1/3?

Algebra ->  Parallelograms -> SOLUTION: what is the value of 2+(-2/3)2divided by 1/3?      Log On


   



Question 330644: what is the value of 2+(-2/3)2divided by 1/3?
Answer by Fombitz(32388) About Me  (Show Source):
You can put this solution on YOUR website!
Dividing by a fraction is the same as multiplying by its reciprocal.
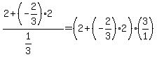
+%282%2B%28-2%2F3%292%29%2F%281%2F3%29=+%282%2B%28-2%2F3%292%29%2A%283%2F1%29
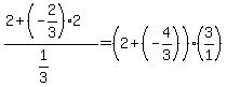
+%282%2B%28-2%2F3%292%29%2F%281%2F3%29=+%282%2B%28-4%2F3%29%29%2A%283%2F1%29
+%282%2B%28-2%2F3%292%29%2F%281%2F3%29=+%286%2F3%2B%28-4%2F3%29%29%2A%283%2F1%29
+%282%2B%28-2%2F3%292%29%2F%281%2F3%29=+%282%2F3%29%2A%283%2F1%29
+%282%2B%28-2%2F3%292%29%2F%281%2F3%29=+2