Question 1012965: The area and the perimeter of a parallelogram are 2000 sq. m. and 240 m., respectively. Find the lengths of the short and long diagonals.
Found 2 solutions by Theo, KMST: Answer by Theo(13342) (Show Source):
You can put this solution on YOUR website! i have a problem with this problem and the problem is this.
you haven't defined what kind of parallelogram you are dealing with.
this means that you can have several different kinds of parallelograms where the area is 2000 and the perimeter is 240.
let me explain.
area of a paraallelogram is base * height = area.
since the area is 2000, you get base * height = 2000.
perimeter of a parallelogram is 2 * base + 2 * side = perimeter.
since the perimeter is 240, you get 2 * base + 2 * side = 240.
you are dealing with 2 equations and 3 variables, so you won't get one answer.
the best you will be able to do is get one answer based on an assumption in the value of one of the other variables.
since both equations have the same base in them, we can relate these equations in terms of the base.
from the first equation, we get base = 2000 / height.
from the second equation, we get base = 120 - side.
if we substgitute 2000 / height for base in the second equation, we get:
2000 / height = 120 - side.
if we solve this equation for side, we get side = 120 - 2000 / height.
now let's look at some values that will satisfy both requirements.
the first requirement is that the area is equal to 2000.
the second requirement is that the perimeter is equal to 240.
we will assume a height and we will then calculate the base and the side.
we will work from the following two equations.
base = 2000 / height.
side = 120 - 2000 / height.
so, we'll take some values for height and then calculate base and side and then see if the requirements of the problem are satisfied.
the following excel printout shows you what happens for values of height from 0 to 240.
see below the printout for more comments.
what you see from this printout is that all of the heights given and sides and bases calculated give you a parallelogram that has an area of 2000 and a perimeter of 240.
the 2 parallelograms that are rectangles have been marked.
these are the ones where the height is equal to the side.
the other parallelograms are not rectangles, but have some angles other than 90 degrees.
these are the ones where the height is not equal to the side.
they all, however, give you an area of 2000 and a perimeter of 240.
your question was to find the length of the long and short diagonals.
you will get several answers depending on which of these possible parallelograms is the one that you want to calculate the diagonals from.
if you meant rectangle, you will get one answer.
in other words, something is missing in the specification of the problem.
if you had given the height, then the others could have been worked out.
if you had given the length of a side, then the others could have been worked out.
as the problem is specified, one solution is not possible.
i could be wrong, but that's my belief based on my analysis shown above.
Answer by KMST(5328) (Show Source):
You can put this solution on YOUR website! I agree with Theo, and I believe there is some part of the problem that got lost in translation.
The phrase "Find the lengths of the short and long diagonals" tells me that two diagonals of different length are expected.
That tells me that your parallelogram must be a special kind of parallelogram.
It is not just any parallelogram, possibly a rectangle or a square,
because the two diagonals in a rectangle have the same length.
There is solution if it is a rectangle, and it is easy to find.
There is solution if it is a rhombus, and it is relatively easy to find.
If the there are longer and shorter sides, and acute and obtuse angles,
the parallelogram is neither a rectangle nor a rhombus,
and you have of solutions to the problem.
Here is how your problem should read:
The area and the perimeter of a parallelogram shown below are 2000 sq. m. and 240 m., respectively. Find the lengths of the short and long diagonals.
(or maybe the rhombus was tilted so one side would be "horizontal").
The little square in the middle, tells you that the diagonals are perpendicular.
It also tells you that it is a rhombus, and more importantly,
it gives you an easy way to calculate the diagonals.
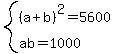
Let me name a couple variables, and show you how to solve that solvable problem.

---> ---> ---> ---> --->
Where do we go from here?
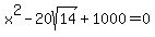
There is more than one way to solve that system for and , but
we know that the solutions we look for are the solutions to ,
so we solve 
by using the quadratic formula or by completing the square,
to find .
So, the length of the diagonals is
for the longer diagonal, and
for the shorter diagonal.
I was going to do something similar to Theo's tabulation,
resorting to the Microsoft Excel spreadsheet program
to create a table showing different parallelograms that met the conditions in the problem,
and calculating the length of their diagonals,
but unless it is a rectangle or a rhombus,
it is not fun.
For the rectangle found by Theo, both diagonals are the same length, in meters,
(rounded).
Just finding parallelograms with different lengths diagonals would do.
|
|
|