SOLUTION: 8. Express each of the following in the form (x+a)^2+b a) x^2 +18x b) x^2 - 9x c) x^2 + 1/3x d) x^2 - 2/9x e) x^2 + 4x + 7 f) x^2 - 7x +3 g) x^2 + 1/2x - 2/5 h) x^2 - 2/3x

Algebra ->  Numeric Fractions Calculators, Lesson and Practice -> SOLUTION: 8. Express each of the following in the form (x+a)^2+b a) x^2 +18x b) x^2 - 9x c) x^2 + 1/3x d) x^2 - 2/9x e) x^2 + 4x + 7 f) x^2 - 7x +3 g) x^2 + 1/2x - 2/5 h) x^2 - 2/3x       Log On


   



Question 974601: 8. Express each of the following in the form (x+a)^2+b
a) x^2 +18x
b) x^2 - 9x
c) x^2 + 1/3x
d) x^2 - 2/9x
e) x^2 + 4x + 7
f) x^2 - 7x +3
g) x^2 + 1/2x - 2/5
h) x^2 - 2/3x + 1/4

Answer by josgarithmetic(39631) About Me  (Show Source):
You can put this solution on YOUR website!
You must decide what to add and subtract to Complete The Square. Study the lesson here: Lesson on how to Complete The Square, included here.

Here is one of your examples:

(d):

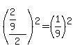
x%5E2-%282%2F9%29x
The term to use is %28%282%2F9%29%2F2%29%5E2=%281%2F9%29%5E2.
x%5E2-%282%2F9%29x%2B%281%2F9%29%5E2-%281%2F9%29%5E2
highlight%28%28x-1%2F9%29%5E2-1%2F81%29