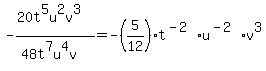
SOLUTION: Reduce the fraction -20t^5u^2v^3/48t^7u^4v
Algebra
->
Numeric Fractions Calculators, Lesson and Practice
-> SOLUTION: Reduce the fraction -20t^5u^2v^3/48t^7u^4v
Log On
Algebra: Numeric Fractions
Section
Solvers
Solvers
Lessons
Lessons
Answers archive
Answers
Click here to see ALL problems on Numeric Fractions
Question 934531
:
Reduce the fraction -20t^5u^2v^3/48t^7u^4v
Answer by
Fombitz(32388)
(
Show Source
):
You can
put this solution on YOUR website!