SOLUTION: How do you simplify: 1/6 + 12 + (-3/8)

Algebra ->  Numeric Fractions Calculators, Lesson and Practice -> SOLUTION: How do you simplify: 1/6 + 12 + (-3/8)      Log On


   



Question 901387: How do you simplify:
1/6 + 12 + (-3/8)

Answer by Fombitz(32388) About Me  (Show Source):
You can put this solution on YOUR website!
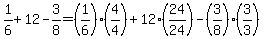
Use a common denominator, 24
1%2F6%2B12-3%2F8=%281%2F6%29%284%2F4%29%2B12%2824%2F24%29-%283%2F8%29%283%2F3%29
1%2F6%2B12-3%2F8=4%2F24%2B288%2F24-9%2F24
1%2F6%2B12-3%2F8=highlight%28283%2F24%29