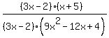
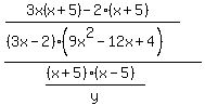
SOLUTION: Leave the following expression in it's simplest terms: (3x^2 + 13x - 10) / 27x^3 - 8 ÷ x^2 - 25 / y I have tried to simplify the equations but i
Algebra
->
Numeric Fractions Calculators, Lesson and Practice
-> SOLUTION: Leave the following expression in it's simplest terms: (3x^2 + 13x - 10) / 27x^3 - 8 ÷ x^2 - 25 / y I have tried to simplify the equations but i
Log On
Algebra: Numeric Fractions
Section
Solvers
Solvers
Lessons
Lessons
Answers archive
Answers
Click here to see ALL problems on Numeric Fractions
Question 805555
:
Leave the following expression in it's simplest terms:
(3x^2 + 13x - 10) / 27x^3 - 8 ÷ x^2 - 25 / y
I have tried to simplify the equations but it is not working out.
Could you please help?
Thank you.
Answer by
mananth(16946)
(
Show Source
):
You can
put this solution on YOUR website!
÷
/
*
*