Question 775476: 11/8 divided by 3 and 1/4 .. No clue how to do it. Fractions are so hard.. Need to write in lowest terms Found 2 solutions by sofiyac, htmentor:Answer by sofiyac(983) (Show Source):
You can put this solution on YOUR website! Fractions are very easy after a lot of practice, try getting a tutor in your area
3 and 1/4 can be rewritten, how? multiply whole number (3) by the bottom (4) add the top (1) and the whole thing is over bottom (4) so
3 and 1/2 is the same as (3*4+1)/4=13/4 now we can multiply so the answer is 4 and 15/32
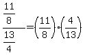
You can put this solution on YOUR website! Take it step by step. First convert the mixed number in the denominator to an improper fraction:
3 1/4 = 13/4, since 12/4 = 3 and there is 1/4 remaining for a total of 13/4
Since dividing by 13/4 is the same as multiplying by the reciprocal, we can write the quotient as
We can divide the 4 into 8, leaving us with 11/26