SOLUTION: Complete: 4x/x-1=?/(x+1)(x-1) I am so lost, but I'm sure it's so simple. Please show me? Thanks!!

Algebra ->  Numeric Fractions Calculators, Lesson and Practice -> SOLUTION: Complete: 4x/x-1=?/(x+1)(x-1) I am so lost, but I'm sure it's so simple. Please show me? Thanks!!      Log On


   



Question 7747: Complete:
4x/x-1=?/(x+1)(x-1)
I am so lost, but I'm sure it's so simple. Please show me? Thanks!!

Answer by Earlsdon(6294) About Me  (Show Source):
You can put this solution on YOUR website!
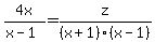
I'm replacing your ? with z, it works better in the math.
4x%2F%28x-1%29+=+z%2F%28x%2B1%29%28x-1%29 Multiply both sides by (x+1)(x-1)
%284x%28x%2B1%29%28x-1%29%29%2F%28x-1%29+=+z Cancel the (x-1)'s
z+=+4x%28x%2B1%29 or
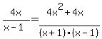
z+=+4x%5E2+%2B+4x Finally.
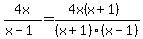
4x%2F%28x-1%29+=+%284x%28x%2B1%29%29%2F%28x%2B1%29%28x-1%29 or
4x%2F%28x-1%29+=+%284x%5E2+%2B+4x%29%2F%28x%2B1%29%28x-1%29