SOLUTION: (x-2)(2x-4)-(x-2)(3x+4)/ (2-x)(x+8) =

Algebra ->  Numeric Fractions Calculators, Lesson and Practice -> SOLUTION: (x-2)(2x-4)-(x-2)(3x+4)/ (2-x)(x+8) =       Log On


   



Question 67346: (x-2)(2x-4)-(x-2)(3x+4)/
(2-x)(x+8) =

Answer by Edwin McCravy(20066) About Me  (Show Source):
You can put this solution on YOUR website!

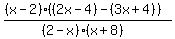
                    +%28%28x-2%29%282x-4%29-%28x-2%29%283x%2B4%29%29%2F%28%282-x%29%28x%2B8%29%29+ 

Factor out %28x-2%29 in the numerator

                    %28%28x-2%29%28%282x-4%29-%283x%2B4%29%29%29%2F%28%282-x%29%28x%2B8%29%29

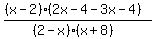
Remove the inner parentheses in the numerator

                    %28%28x-2%29%282x-4-3x-4%29%29%2F%28%282-x%29%28x%2B8%29%29

Simplify the %282x-4-3x-4%29 as %28-x-8%29

                    +%28%28x-2%29%28-x-8%29%29%2F%28%282-x%29%28x%2B8%29%29+

Use the principle

A-B can be replaced by -1%28B-A%29 to replace
the %282-x%29 in the bottom by -1%28x-2%29.

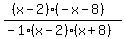
                    +%28%28x-2%29%28-x-8%29%29%2F%28-1%28x-2%29%28x%2B8%29%29+

Now cancel the %28x-2%29's

                    +%28%28-x-8%29%29%2F%28-1%28x%2B8%29%29+

Factor -1 out of the numerator

                    +%28-1%28x%2B8%29%29%2F%28-1%28x%2B8%29%29+


The numerator and denominator cancel leaving

                    1%2F1 or just

                    1

Edwin