SOLUTION: Rational and Radical Expressions 1) Simplify: 16x²+8x+1 ——————————— 1-16x² 2) Multiply and Simplify: x²-7x+12. x² +6x+8 ———————————

Algebra ->  Numeric Fractions Calculators, Lesson and Practice -> SOLUTION: Rational and Radical Expressions 1) Simplify: 16x²+8x+1 ——————————— 1-16x² 2) Multiply and Simplify: x²-7x+12. x² +6x+8 ———————————       Log On


   



Question 65383: Rational and Radical Expressions
1) Simplify: 16x²+8x+1
———————————
1-16x²
2) Multiply and Simplify:
x²-7x+12. x² +6x+8
———————————
x²-6x+8 x²-x-6

3) Divide and simplify: 5x-7 ÷ 25x²-49
—————————
5x²+27x+28

thank you



Answer by funmath(2933) About Me  (Show Source):
You can put this solution on YOUR website!
Rational and Radical Expressions
1) Simplify:
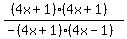
%2816x%5E2%2B8x%2B1%29%2F%281-16x%5E2%29
%28%284x%2B1%29%284x%2B1%29%29%2F%28-%284x%2B1%29%284x-1%29%29
-%28cross%28%284x%2B1%29%29%284x%2B1%29%29%2F%28cross%28%284x%2B1%29%29%284x-1%29%29
-%284x%2B1%29%2F%284x-1%29
highlight%28%284x%2B1%29%2F%281-4x%29%29
:
2) Multiply and Simplify:



highlight%28%28x%2B4%29%2F%28x-2%29%29
:
3) Divide and simplify: 5x-7 ÷ 25x²-49
—————————
5x²+27x+28
%285x-7%29%2A%28%285x%5E2%2B27x%2B28%29%2F%2825x%5E2-49%29%29
%285x-7%29%2A%28%28x%2B4%29%285x%2B7%29%2F%28%285x%2B7%29%285x-7%29%29%29

highlight%28x%2B4%29
Happy Calculating!!!