SOLUTION: I am trying my best to solve these problems and struggling so badly! I have tried every possible thing and still getting them wrong.. Please if you can help me I would truly appre

Algebra ->  Numeric Fractions Calculators, Lesson and Practice -> SOLUTION: I am trying my best to solve these problems and struggling so badly! I have tried every possible thing and still getting them wrong.. Please if you can help me I would truly appre      Log On


   



Question 536092: I am trying my best to solve these problems and struggling so badly! I have tried every possible thing and still getting them wrong.. Please if you can help me I would truly appreciate it!
4%2F%28x%5E2%2B7x%2B6%29 - 6x%2F%28x%5E2%2B4x%2B3%29 + %28x%2B4%29%2F%28x%5E2%2B9x%2B18%29
The way that this is it is fractions.. Not sure if you can tell that the way I typed them up. I am able to factor all of it so the answer that I get to is
4(x+3)-6x(x+6)+x+4)(x+1) over the LCD which I have is (x+1)(x+6)(x+3)
After all of that I get stuck! Thank you so much for your help!

Found 2 solutions by fcabanski, Edwin McCravy:
Answer by fcabanski(1391) About Me  (Show Source):
You can put this solution on YOUR website!
I can't read the problem. Write the fractions like this (4x/(x^2+7)) + next fraction, etc.

Answer by Edwin McCravy(20067) About Me  (Show Source):
You can put this solution on YOUR website!

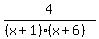
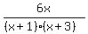
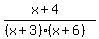
4%2F%28x%5E2%2B7x%2B6%29 - 6x%2F%28x%5E2%2B4x%2B3%29 + %28x%2B4%29%2F%28x%5E2%2B9x%2B18%29

4%2F%28%28x%2B1%29%28x%2B6%29%29 - 6x%2F%28%28x%2B1%29%28x%2B3%29%29 + %28x%2B4%29%2F%28%28x%2B3%29%28x%2B6%29%29

4%2F%28%28x%2B1%29%28x%2B6%29%29·red%28%28%28x%2B3%29%29%2F%28%28x%2B3%29%29%29 - 6x%2F%28%28x%2B1%29%28x%2B3%29%29·red%28%28%28x%2B6%29%29%2F%28%28x%2B6%29%29%29 + %28x%2B4%29%2F%28%28x%2B3%29%28x%2B6%29%29·red%28%28%28x%2B1%29%29%2F%28%28x%2B1%29%29%29

%284%28x%2B3%29%29%2F%28%28x%2B1%29%28x%2B6%29%28x%2B3%29%29 - %286x%28x%2B6%29%29%2F%28%28x%2B1%29%28x%2B3%29%28x%2B6%29%29 + %28%28x%2B4%29%28x%2B1%29%29%2F%28%28x%2B3%29%28x%2B6%29%28x%2B1%29%29



So you got this far.  Remove all the parentheses on top by using
FOIL and the distributive principle:

%284x%2B12-6x%5E2-36x%2B%28x%5E2%2B5x%2B4%29%29%2F%28%28x%2B1%29%28x%2B6%29%28x%2B3%29%29

%284x%2B12-6x%5E2-36x%2Bx%5E2%2B5x%2B4%29%2F%28%28x%2B1%29%28x%2B6%29%28x%2B3%29%29

Collect all like terms in the top and arrange them in descending order:

%28-5x%5E2-27x%2B16%29%2F%28%28x%2B1%29%28x%2B6%29%28x%2B3%29%29

Edwin