SOLUTION: i need some help simplifying this equation, i am unsure how to get it simplified: (4y/y^2-1)+(3y/1+-y)-(4/y-1)

Algebra ->  Numeric Fractions Calculators, Lesson and Practice -> SOLUTION: i need some help simplifying this equation, i am unsure how to get it simplified: (4y/y^2-1)+(3y/1+-y)-(4/y-1)      Log On


   



Question 524752: i need some help simplifying this equation, i am unsure how to get it simplified:
(4y/y^2-1)+(3y/1+-y)-(4/y-1)

Answer by Maths68(1474) About Me  (Show Source):
You can put this solution on YOUR website!
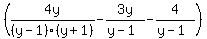
=%284y%2F%28y%5E2-1%29%2B3y%2F%281-y%29-4%2F%28y-1%29%29
=%284y%2F%28y%5E2-1%29-3y%2F%28y-1%29-4%2F%28y-1%29%29
=%284y%2F%28y-1%29%28y%2B1%29-3y%2F%28y-1%29-4%2F%28y-1%29%29
Take LCM
=%28%284y-3y%28y%2B1%29-4%28y%2B1%29%29%2F%28y-1%29%28y%2B1%29%29

=%28%284y-3y%5E2-3y-4y-4%29%2F%28y-1%29%28y%2B1%29%29

=%28%28cross%284y%29%29-3y%5E2-3y-%28cross%284y%29%29-4%29%2F%28y-1%29%28y%2B1%29%29

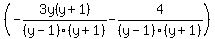
=%28-3y%5E2-3y-4%29%2F%28y-1%29%28y%2B1%29%29

=%28-3y%28y%2B1%29-4%29%2F%28y-1%29%28y%2B1%29%29

=%28-3y%28y%2B1%29%2F%28y-1%29%28y%2B1%29-4%2F%28y-1%29%28y%2B1%29%29

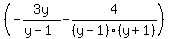
=%28-3y%28cross%28y%2B1%29%29%2F%28cross%28y%2B1%29%29%28y-1%29-4%2F%28y-1%29%28y%2B1%29%29

=%28-3y%2F%28y-1%29-4%2F%28y-1%29%28y%2B1%29%29