SOLUTION: This is a fraction over a fraction. I will not allow me to type it to look just right. However you can see that the numerator is a fraction and the denominator is also a fraction

Algebra ->  Numeric Fractions Calculators, Lesson and Practice -> SOLUTION: This is a fraction over a fraction. I will not allow me to type it to look just right. However you can see that the numerator is a fraction and the denominator is also a fraction      Log On


   



Question 507877: This is a fraction over a fraction. I will not allow me to type it to look just right. However you can see that the numerator is a fraction and the denominator is also a fraction. It just needs to be simplified.
-3+Y
_____
4
________
8+Y
_____
28

Found 2 solutions by Maths68, oberobic:
Answer by Maths68(1474) About Me  (Show Source):
You can put this solution on YOUR website!
=(-3+Y/4)/(8+Y/28)
Change the sign of / (division) to * (Multiplication), When we do that we change the numerator and denominator of the denominator of the fraction
=(-3+Y/4)*(28/8+y)
=(-3+Y)(28)/(4)*(8+y)
=(-3+Y)(7)/(8+y)
=(-21+7y)/(8+y)

Answer by oberobic(2304) About Me  (Show Source):
You can put this solution on YOUR website!
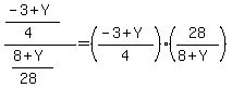
+%28%28-3%2BY%29%2F%284%29%29%2F%28%288%2BY%29%2F%2828%29%29+
.

.
+%28%28-3%2BY%29%2F4%29+%2A+%2828%2F%288%2BY%29%29+=+%28-3%2BY%29%2F4+%2A+28%2F%288%2BY%29+
.
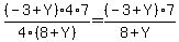
+%28-3%2BY%29%2F4+%2A+4%2A7%2F%288%2BY%29+=+%28-3%2BY%29%2A7%2F%288%2BY%29+
.
More conventionally, this would be shown as:
.
+7%2A%28Y-3%29+%2F+%28Y%2B8%29+