SOLUTION: If we simplify the expression 4(z/8)+ z/2 as 4z/a then what is the value of a?

Algebra ->  Numeric Fractions Calculators, Lesson and Practice -> SOLUTION: If we simplify the expression 4(z/8)+ z/2 as 4z/a then what is the value of a?      Log On


   



Question 397439: If we simplify the expression 4(z/8)+ z/2 as 4z/a then what is the value of a?
Answer by JoeCollins(4) About Me  (Show Source):
You can put this solution on YOUR website!
This question takes a bit of reasoning. When you simplify expressions, you don't actually change the value of them, you just rewrite them in a simplified form. The question claims that 4z%2Fa is the simplified form of 4%28z%2F8%29%2Bz%2F2. Since the value of the simplified form is equal to the expanded form we can set the two expressions equal to each other and solve for a:

1. 4%28z%2F8%29%2Bz%2F2=4z%2Fa

2. 4z%2F8%2Bz%2F2=4z%2Fa

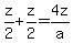
3.z%2F2%2Bz%2F2=4z%2Fa *4/8 reduces to 1/2, times z is z/2

4. 2z%2F2=4z%2Fa *Add the fractions

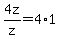
5. z=4z%2Fa *Reduce

6. a%2Az=4z *Multiply both sides by a, to get rid of the fraction

7. a=4z%2Fz *Divide both sides by z, to isolate

8. a=4 *Since z%2Fz=1, 4z%2Fz=4%2A1, or 4.

So a equals 4. If you substitute 4 for a in step 5 and simplify, you will get z=z, which is a true statement. Hope that helps.