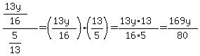
SOLUTION: 13y/16 divided by 5/13
Algebra
->
Numeric Fractions Calculators, Lesson and Practice
-> SOLUTION: 13y/16 divided by 5/13
Log On
Algebra: Numeric Fractions
Section
Solvers
Solvers
Lessons
Lessons
Answers archive
Answers
Click here to see ALL problems on Numeric Fractions
Question 375031
:
13y/16 divided by 5/13
Answer by
jim_thompson5910(35256)
(
Show Source
):
You can
put this solution on YOUR website!
So
If you need more help, email me at
jim_thompson5910@hotmail.com
Also, feel free to check out my
tutoring website
Jim