SOLUTION: i am trying to help my son with his homework and i am lost.. how do i solve this problem? 5/6 + g = 4 and 2/3
Algebra
->
Numeric Fractions Calculators, Lesson and Practice
-> SOLUTION: i am trying to help my son with his homework and i am lost.. how do i solve this problem? 5/6 + g = 4 and 2/3
Log On
Algebra: Numeric Fractions
Section
Solvers
Solvers
Lessons
Lessons
Answers archive
Answers
Click here to see ALL problems on Numeric Fractions
Question 369860
:
i am trying to help my son with his homework and i am lost.. how do i solve this problem? 5/6 + g = 4 and 2/3
Answer by
robertb(5830)
(
Show Source
):
You can
put this solution on YOUR website!
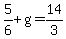
The equation is the same as
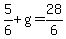
, or
, or