SOLUTION: how to simplify this expression 2[(8-4) to the power of 5 divided by 8
Algebra
->
Numeric Fractions Calculators, Lesson and Practice
-> SOLUTION: how to simplify this expression 2[(8-4) to the power of 5 divided by 8
Log On
Algebra: Numeric Fractions
Section
Solvers
Solvers
Lessons
Lessons
Answers archive
Answers
Click here to see ALL problems on Numeric Fractions
Question 335087
:
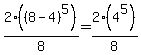
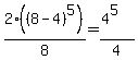
how to simplify this expression 2[(8-4) to the power of 5 divided by 8
Answer by
Fombitz(32388)
(
Show Source
):
You can
put this solution on YOUR website!