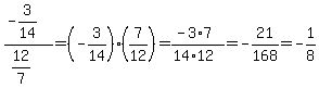
SOLUTION: who can help me with this problem -3/14 / 12/7?? please i need your help
Algebra
->
Numeric Fractions Calculators, Lesson and Practice
-> SOLUTION: who can help me with this problem -3/14 / 12/7?? please i need your help
Log On
Algebra: Numeric Fractions
Section
Solvers
Solvers
Lessons
Lessons
Answers archive
Answers
Click here to see ALL problems on Numeric Fractions
Question 325482
:
who can help me with this problem -3/14 / 12/7?? please i need your help
Answer by
jim_thompson5910(35256)
(
Show Source
):
You can
put this solution on YOUR website!
So