Let's use the quadratic formula to solve for q:
Starting with the general quadratic

the general solution using the quadratic equation is:

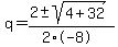
So lets solve ( notice , , and )
Plug in a=-8, b=-2, and c=1
Negate -2 to get 2
Square -2 to get 4 (note: remember when you square -2, you must square the negative as well. This is because .)
Multiply to get 
Combine like terms in the radicand (everything under the square root)
Simplify the square root (note: If you need help with simplifying the square root, check out this solver)
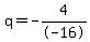
Multiply 2 and -8 to get -16
So now the expression breaks down into two parts
or 
Lets look at the first part:

Add the terms in the numerator
Divide
So one answer is

Now lets look at the second part:

Subtract the terms in the numerator
Divide
So another answer is

So our solutions are:
or 
|