SOLUTION: Choose values of x, then simplify it correctly. 10x^2-30x+20/x^2-1 That's one reason I hate Algebra, I try it to solve a problem a dozen times and still dont understand how to d

Algebra ->  Numeric Fractions Calculators, Lesson and Practice -> SOLUTION: Choose values of x, then simplify it correctly. 10x^2-30x+20/x^2-1 That's one reason I hate Algebra, I try it to solve a problem a dozen times and still dont understand how to d      Log On


   



Question 150458: Choose values of x, then simplify it correctly.
10x^2-30x+20/x^2-1
That's one reason I hate Algebra, I try it to solve a problem a dozen times and still dont understand how to do it.

Answer by vleith(2983) About Me  (Show Source):
You can put this solution on YOUR website!
Don't be hatin' ;)
%2810x%5E2-30x%2B20%29%2F%28x%5E2-1%29
In these types of problems, always try to factor and simplify before grinding the math.

%2810x%5E2-30x%2B20%29%2F%28x%5E2-1%29
%2810%28x%5E2-3x%2B2%29%29%2F%28x%5E2-1%29
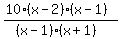
%2810%28x-2%29%28x-1%29%29%2F%28%28x-1%29%28x%2B1%29%29 This say x cannot be 1 or -1 or the denominator will be 0
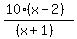
%2810%28x-2%29%29%2F%28%28x%2B1%29%29
Now pick some easy x values and simplify
x=2 yields 0
You can use any value other than 1 and -1 to grind out answers
gotta luv it