SOLUTION: √y-√2=-4. Solution without calculator {} {2} {18}

Algebra ->  Numeric Fractions Calculators, Lesson and Practice -> SOLUTION: √y-√2=-4. Solution without calculator {} {2} {18}      Log On


   



Question 1135030: √y-√2=-4. Solution without calculator
{}
{2}
{18}

Answer by MathLover1(20850) About Me  (Show Source):
You can put this solution on YOUR website!

sqrt%28y%29-sqrt%282%29=-4
sqrt%28y%29=sqrt%282%29-4.............square both sides

%28sqrt%28y%29%29%5E2=%28sqrt%282%29-4%29%5E2
y=2-8sqrt%282%29%2B16
y=18-8sqrt%282%29

verify solution:
sqrt%28y%29-sqrt%282%29=-4}...plug in y=18-8sqrt%282%29
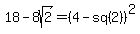
sqrt%2818-8sqrt%282%29%29-sqrt%282%29=-4...sinse 18-8sqrt%282%29=%284-sq%282%29%29%5E2 we have
sqrt%28%284-sq%282%29%29%5E2%29-sqrt%282%29=-4
4+-+sqrt%282%29-sqrt%282%29=-4
4+-+2sqrt%282%29=-4=> false
so, no solutions exist for y element R

and your answer is: { }