SOLUTION: Good afternoon, can you guys explain and write down the steps pls. Thank you (1/8)^4/3 125^-2/3

Algebra ->  Numeric Fractions Calculators, Lesson and Practice -> SOLUTION: Good afternoon, can you guys explain and write down the steps pls. Thank you (1/8)^4/3 125^-2/3      Log On


   



Question 1104680: Good afternoon, can you guys explain and write down the steps pls. Thank you
(1/8)^4/3
125^-2/3

Answer by math_helper(2461) About Me  (Show Source):
You can put this solution on YOUR website!
Good afternoon, can you guys explain and write down the steps pls. Thank you
(1/8)^4/3
125^-2/3
===================================================
I assume the question is you want the steps needed to simplify (?)
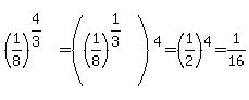
Using the property of exponents +x%5E%28ab%29+=+%28x%5Ea%29%5Eb+ and +x%5E%28-a%29+=+1%2Fx%5Ea+ ...
+%281%2F8%29%5E%284%2F3%29+=+%28%281%2F8%29%5E%281%2F3%29%29%5E4+=+%281%2F2%29%5E4+=+1%2F16+