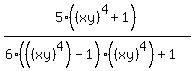
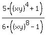
SOLUTION: Reduce to lowest terms. Write your answers without negative exponents. The denominator involved is nonzero. 5x^4y^4+5/6x^8y^8-6
Algebra
->
Numeric Fractions Calculators, Lesson and Practice
-> SOLUTION: Reduce to lowest terms. Write your answers without negative exponents. The denominator involved is nonzero. 5x^4y^4+5/6x^8y^8-6
Log On
Algebra: Numeric Fractions
Section
Solvers
Solvers
Lessons
Lessons
Answers archive
Answers
Click here to see ALL problems on Numeric Fractions
Question 1098397
:
Reduce to lowest terms. Write your answers without negative exponents. The denominator involved is nonzero.
5x^4y^4+5/6x^8y^8-6
Answer by
MathLover1(20850)
(
Show Source
):
You can
put this solution on YOUR website!