SOLUTION: where is 17/6 on a number line?
Algebra
->
Number-Line
-> SOLUTION: where is 17/6 on a number line?
Log On
Algebra: Number Line
Section
Solvers
Solvers
Lessons
Lessons
Answers archive
Answers
Click here to see ALL problems on Number-Line
Question 846537
:
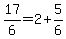
where is 17/6 on a number line?
Answer by
Fombitz(32388)
(
Show Source
):
You can
put this solution on YOUR website!
So it's between 2 and 3 closer to 3.