SOLUTION: Please help me solve this: 2h/(2-x-h) * (2-x)/h
Algebra
->
Number-Line
-> SOLUTION: Please help me solve this: 2h/(2-x-h) * (2-x)/h
Log On
Algebra: Number Line
Section
Solvers
Solvers
Lessons
Lessons
Answers archive
Answers
Click here to see ALL problems on Number-Line
Question 266522
:
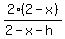
Please help me solve this:
2h/(2-x-h) * (2-x)/h
Answer by
CubeyThePenguin(3113)
(
Show Source
):
You can
put this solution on YOUR website!