SOLUTION: Given the quadratic function: f(x) = -1/2x^2-3x+5/2 a. Determine whether the parabola opens up or opens down. b. Find the vertex of the parabola. c. Determine the axis of the

Algebra ->  Number-Line -> SOLUTION: Given the quadratic function: f(x) = -1/2x^2-3x+5/2 a. Determine whether the parabola opens up or opens down. b. Find the vertex of the parabola. c. Determine the axis of the      Log On


   



Question 1187844: Given the quadratic function:
f(x) = -1/2x^2-3x+5/2
a. Determine whether the parabola opens up or opens down.
b. Find the vertex of the parabola.
c. Determine the axis of the symmetry.
d. Find the x - intercepts and the y - intercept of the parabola.
e. Sketch the graph of f(x).

Answer by MathLover1(20850) About Me  (Show Source):
You can put this solution on YOUR website!

Given the quadratic function:
f%28x%29+=+-%281%2F2%29x%5E2-3x%2B5%2F2
a. Determine whether the parabola opens up or opens down.
if the leading coefficient is less than zero, as in your case,
the parabola opens down
b. Find the vertex of the parabola.
rewrite equation in vertex form
f%28x%29+=+%28-%281%2F2%29x%5E2-3x%29%2B5%2F2
f%28x%29+=+-%281%2F2%29%28x%5E2%2B6x%29%2B5%2F2
f%28x%29+=+-%281%2F2%29%28x%5E2%2B6x%2Bb%5E2%29-%28-1%2F2%29b%5E2%2B5%2F2..........b=6%2F2=3
f%28x%29+=+-%281%2F2%29%28x%5E2%2B6x%2B3%5E2%29%2B%281%2F2%293%5E2%2B5%2F2
f%28x%29+=+-%281%2F2%29%28x%2B3%29%5E2%2B9%2F2%2B5%2F2
f%28x%29+=+-%281%2F2%29%28x%2B3%29%5E2%2B7=>h=-3 and k=7
the vertex is at (-3, 7)

c. Determine the axis of the symmetry.
The x -coordinate of the vertex is the equation of the axis of symmetry of the parabola.
x=-3
d. Find the x - intercepts and the y - intercept of the parabola.
x - intercepts: set f%28x%29+=0
0+=+-%281%2F2%29%28x%2B3%29%5E2%2B7.........solve for x
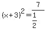
+%281%2F2%29%28x%2B3%29%5E2=7
+%28x%2B3%29%5E2=7%2F%281%2F2%29
+%28x%2B3%29%5E2=14
+x%2B3=sqrt%2814%29
+x=sqrt%2814%29+-3
solutions:
x+=++sqrt%2814%29-3-> approximately 0.7
x+=++-+sqrt%2814%29-3-> approximately -6.7
y - intercepts: set x+=0
recall that f%28x%29=y
y=+-%281%2F2%29%280%2B3%29%5E2%2B7
y=+5%2F2
e. Sketch the graph of f(x).

+graph%28+600%2C+600%2C+-10%2C+10%2C+-10%2C+10%2C+-%281%2F2%29%28x%2B3%29%5E2%2B7%29+