SOLUTION: Really need the step by step solution to these questions
1. What is the tangent line of y = cos x at x = π/4?
2. What is the derivative of (5x + 2)(x^3 + 4x)?
3. Cons
Algebra ->
Matrices-and-determiminant
-> SOLUTION: Really need the step by step solution to these questions
1. What is the tangent line of y = cos x at x = π/4?
2. What is the derivative of (5x + 2)(x^3 + 4x)?
3. Cons
Log On
Question 965782: Really need the step by step solution to these questions
1. What is the tangent line of y = cos x at x = π/4?
2. What is the derivative of (5x + 2)(x^3 + 4x)?
3. Construct an f(x) such that lim f(x) = ∞ but lim (x-3)f(x) = 0
x→3 x→3 Answer by Fombitz(32388) (Show Source):
You can put this solution on YOUR website! 1.The slope of the tangent line is the value of the derivative at the point of interest.
Find the value of y at .
Now use the point slope form of a line,
.
. .
.
.
.
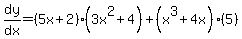
2.
.
.
.
3. for (,)U(,) and for