SOLUTION: Please help me solve 2X plus 5Y equals 145 and X plus Y equals 50 matrix

Algebra ->  Matrices-and-determiminant -> SOLUTION: Please help me solve 2X plus 5Y equals 145 and X plus Y equals 50 matrix      Log On


   



Question 914755: Please help me solve 2X plus 5Y equals 145 and X plus Y equals 50 matrix
Answer by MathLover1(20850) About Me  (Show Source):
You can put this solution on YOUR website!
STEP 1:
Find coefficient matrix (D), X matrix (Dx) and Y matrix (Dy). In this example we have.
D = %28matrix%282%2C2%2C%0D%0A2%2C5%2C%0D%0A1%2C1%29+%29

Dx=%28matrix%282%2C2%2C%0D%0A145%2C5%2C%0D%0A50%2C1%29+%29


Dy=%28matrix%282%2C2%2C%0D%0A2%2C145%2C%0D%0A1%2C50%29+%29

STEP 2:
Find determinants for D, Dx and Dy.
det D= %28matrix%282%2C2%2C%0D%0A2%2C5%2C%0D%0A1%2C1%29+%29=2%2A1-5%2A1=-3

det Dx= =%28matrix%282%2C2%2C%0D%0A145%2C5%2C%0D%0A50%2C1%29+%29=145%2A1-50%2A5=-105

det Dy= =%28matrix%282%2C2%2C%0D%0A2%2C145%2C%0D%0A1%2C50%29+%29 =2%2A50-1%2A145=-45
STEP 3:
Solve for the x and y
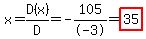
x=D%28x%29%2FD=-105%2F-3=highlight%2835%29
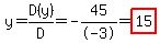
y=D%28y%29%2FD=-45%2F-3=highlight%2815%29